Problematyka środków transportowych

Jeśli przebieg samochodu ciężarowego jest wyrażony w kilometrach, a ładowność w tonach, to miarą pracy przewozowej są tonokilometry.
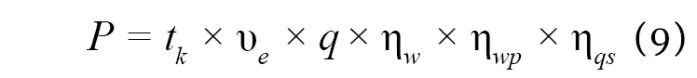
Współczynnik ηqs nosi nazwę statycznego współczynnika wykorzystania ładowności. W transporcie jest również stosowany dynamiczny współczynnik wykorzystania ładowności ηqd, stanowiący stosunek pracy przewozowej wykonywanej do oferowanej [1]:

gdzie:
n – liczba samochodów ciężarowych,
qri – rzeczywisty ładunek samochodu ciężarowego i,
Słi – przebieg ładowny samochodu ciężarowego i,
qi – ładowność samochodu ciężarowego i.
Podsumowanie
W niniejszym artykule została poruszona problematyka głównie środków transportu kołowego ze względu na to, że ten rodzaj transportu jest najbardziej elastyczny pod względem krążności. A także dostępności. Jak wiadomo, [...]
którzy są subskrybentami naszego portalu.
i ciesz się dostępem do bazy merytorycznej wiedzy!




