Analiza konwersji krzywej próbnego statycznego obciążenia pala przy zmianie średnicy oraz długości

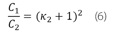
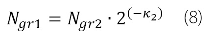
Wartości C1; κ1 oraz Ngr1 wyznacza się z równań (6) ÷ (8), powstałych na podstawie wcześniejszych badań dotyczących metody M-K, prowadzonych w Katedrze Geotechniki Wydziału Budownictwa i Inżynierii Środowiska [7, 13, 18]:



Znając wartości powyższych parametrów możliwe jest określenie przebiegu kompletu krzywych opisanych równaniami (2) ÷ (4), przedstawionych graficznie na rys. 3.
Parametry opisujące krzywą, N2(s)
Parametry opisujące krzywą, N2(s) czyli C2; κ2; Ngr2 można wyznaczyć bezpośrednio ze zbioru wielkości {si, Ni}wykorzystując metody [...]
którzy są subskrybentami naszego portalu.
i ciesz się dostępem do bazy merytorycznej wiedzy!





